切换到宽版
  • 10阅读
  • 1回复

[奇观]静安区光复路195号保护修缮 / 华建集团历史建筑保护设计院 [51P] [复制链接]

上一主题 下一主题
在线jjybzxw

UID: 551814

 

发帖
215641
金币
640877
道行
2006
原创
2442
奖券
3260
斑龄
41
道券
1197
获奖
0
座驾
设备
摄影级
在线时间: 46987(小时)
注册时间: 2008-10-01
最后登录: 2026-01-02
只看楼主 倒序阅读 使用道具 楼主  发表于: 昨天 09:35
— 本帖被 xgch 执行加亮操作(2026-01-01) —


历史-更新-再生
光复路195号的更新,以“艺术+设计+生活方式”的复合业态定位,与周边的四行仓库、光复路127号等历史建筑形成错位联动,融入上海“一江一河”区域更新的宏大叙事。这也是上海城市精神的一种隐喻:
尊重历史的厚度,拥抱创新的锐度,在奔涌的苏州河畔,书写永续生长的城市史诗。
01.
民族史书光复路
光复路195号位于上海市静安区苏州河北岸,其所在区域原为闸北区。因地处吴淞江(苏州河)老闸、新闸以北而得名,是近代民族工业运动、新文化运动等的发源地。清光绪二十六至三十年(1900~1904年),今光复路筑东段,因其位于苏州河北侧命名北苏州路。民国元年至14年(1912~1925年)筑西段,为纪念光复运动,命名光复路。民国14年东段改名东光复路,后统称光复路。

光复路一带依托苏州河水运系统,曾为上海重要的工业及仓储聚集地:原江苏省农民银行上海分行仓库、金城银行仓库、中国银行仓库、四行(盐业、金城、中南、大陆银行)仓库、怡和打包厂、福新面粉厂等均选址于此。

△ 图左的光复路195号,与图右光复路127号Fotografisca影像艺术中心、图右远处的四行仓库抗战纪念馆,同为百联旗下沿苏州河文化带的组成部分。
02.
中资银行与第一代中国建筑师双向奔赴
光复路195号建于1933年,建成时名为“交通银行仓库”,建筑师为庄俊,营造厂为新森泰,登报所列费用为21万元,实际建筑工程耗资约32万元,初始使用的钢窗为中国铜铁工厂制造。

△ 交通银行仓库建成时的报道,引自1934年《交行通信》
建筑师庄俊,是近代中国第一位留学美国学习建筑学科的建筑师,1914年毕业于伊利诺伊大学,也是第一代中国建筑师的代表人物。1925年,他在上海创办庄俊建筑师事务所,曾于交通部华北建筑工程公司、中央设计院、华东工业设计院任总工程师。庄俊开立事务所期间,受交通银行委托项目较多,主持完成的项目包括济南交通银行、哈尔滨交通银行、大连交通银行、徐州交通银行、青岛交通银行及其仓库等。庄俊对不同建筑风格运用自如,从古典主义、装饰艺术至现代主义均有极优秀的作品。

△ 建筑师庄俊的生平简介及代表作,信息引自《近代哲匠录》
光复路195号仓库建成后,交通银行提起申请,在仓库前的苏州河岸增设一处码头。1937年以前,该仓库主要存储粮食及五金、棉花等基础物资,是当时交通银行规模较大、配备较高的仓库。
03.
从战争据点到文化载体
1937年八一三事变后,交通银行仓库被日军占领,成为其向四行仓库进攻的据点。因其为现代结构的大型仓库,空间划分便利,1938年起,日军多个机构进驻,在周边进行演练。或因此,对比苏州河北岸其它受到严重破坏的工业建筑,抗战期间交通银行仓库并未受到太多破坏,基本保存完好。

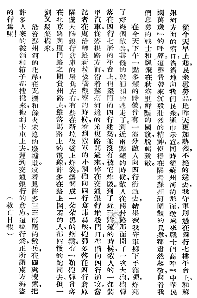
△ 《救亡日报》报道:战争中的交通银行

△ 美联社拍摄,1937年战火中的交通银行仓库



△ 淞沪会战中的光复路195号交通银行仓库影像

△ 日军二十一支队本部影集中的光复路195号大门
建国后,该建筑权属几经周折,历经中国人民银行上海分行、上海市商业局、上海商业储运联营公司(在此阶段改名为四行仓库光二分库)接管,后由百联集团接手。1999年,建筑师刘继东租下仓库部分区域,将其改为“创意仓库”,该仓库吸引了一批独立设计工作室进驻。改造后,2015年该建筑被列入第五批上海市优秀历史建筑名单。

△ 2000年光复路195号改造成“创意仓库”后的照片

△ 2023年光复路195号本轮修缮前照片
04.
实用典雅的art-deco风格杰作
建筑整体呈现简洁端庄的Art-Deco风格,与当时国际潮流接轨。建筑沿苏州河展开的建筑主要立面——南立面呈对称分布,主体为灰色水刷石(灰水泥、白色石子),装饰以竖向几何线脚为主,入口处有特殊线脚装饰、几何形山花予以强调。其风格与周边四行仓库等工业仓储建筑不同,与外滩交通银行大楼(外滩14号,今总工会大楼)具有一定的相似性。

△ 基于历史照片拼合的南立面初始状态

△ 本轮修缮前的南立面

△ 本轮修缮的南立面效果图


△ 修缮完成后的南立面主入口


△ 东立面修缮前后对比


△ 北立面修缮前后对比


△ 底层中央车道修缮前后,底层中部原为车道,车辆可穿过主体建筑,直达北侧空地。
室内原有无梁楼盖体系保存较为完整,是二十世纪三十年代的同类工业建筑结构的典型实例。无梁楼盖结构体系可最大化利用建筑层高,满足其堆放货物的功能需求。
本轮修缮设计中,通过功能策划与结构计算、结构加固设计紧密合作,避免了对无梁楼盖区域楼板和柱身的结构的扩大截面加固做法,结合主要使用空间的裸顶设计和机电管线精密化排布,呈现了无梁楼盖体系原本的结构之美。



△ 无梁楼盖区域修缮前后
作为仓储建筑,室内仍有多处历史铁门留存。现存历史防火铁门多为由Mather&Platt制造,该公司最早于1852年成立。本建筑中的防火门为其于1910年迁入曼切斯特Newton Heath厂址之后所产,该公司的历史广告中,宣传的防火门与现存铁门形式相同。


△ 楼内Mather&Platt历史铁门,及其1949年刊登的生产商广告
光复路195号建筑内的缓步楼梯、电梯间布局及其它现存实物反映了当时工业仓储建筑的技术需求,亦具有较高的科学技术价值。
05.
历史元素的系统性激活
因使用年限较久且使用方更迭频繁,光复路195号的室内外存在较大规模的改造,保存状况不一。外立面存在多处门窗改动、搭建加建,室内普遍存在后期加建的隔墙、夹层等。经过历史原始布局研读和功能策划排布,建筑底层空间以餐饮、公共、设备功能为主,主要流线为从光复路至中央通廊“光路”的流线,东侧局部打开封闭界面,向双拥公园展示更积极的空间渗透。
动线策划



△ 首层商业部分的设计动线,及“光路”两侧店铺的呈现效果


△ 标准办公层的设计动线,及办公共享空间的呈现效果
立面修缮
南立面底层原为水刷石饰面,修缮前已非历史原貌,店铺门面破墙较多;二至四层墙面可见历史清扫口及旗杆位。由于苏州河沿岸地面多次垫高,现状立面比例比之于历史原状已发生变化。
本次修缮中,南立面底层界面根据历史样式进行现代转译,统一为符合历史风貌保护要求的黑色落地金属窗。该界面与东侧已落成的光复路127号共同形成沿苏州河畔完整、连续的风貌,可提升苏州河沿线的重要城市界面形象。

△ 修缮后的光复路195号,与苏州河游船的四行仓库站码头相映生辉
北立面、西立面、东立面历史原状为节省造价的黄沙水泥饰面,修缮前为后做的浅灰色涂料面层,窗户多为后期替换的铝合金窗、钢窗等,立面洞口普遍为后期所加,布局无规律。本次修缮中,对窗扇进行整治与替换,修补后开洞口,复原次要立面材质为接近黄砂水泥历史样式的装饰面层,并结合全楼机电更新工程,取消外部现有的杂乱空调机位。

△ 修缮后的北立面及北侧庭院,后续周边商业地块建成后,将与其贯通联动,营造舒适步行氛围
建筑使用过程中,落水管和雨水斗多次更换,现场勘察中发现五层仍存一处历史原物。根据现存原物,采取原材料原工艺翻制历史样式的雨水斗,应用于外部立面,仍承担排水功能,恢复建筑的外部界面特征。

△ 根据历史原物统一翻制的雨水斗,与立面隐蔽设置的机电线缆结合设置
屋面北侧主要用于集中设置机房、设备,沿河界面清理去除后加覆土、杂乱临时搭建等之后,呈现出迎接苏州河落日的最美滨河露台。




△ 屋顶拆除大量冗余搭建并规整机电区域后,将最优景观面预留为露台,为未来多样化的活动场景留白。

△ 顶层原室内设备间的机电设备集约化设置,挤压出多功能空间供文化活动使用。
室内空间
建筑楼梯为具有工业建筑特征的缓步楼梯,混凝土框架结构、混凝土面层。楼梯总体布局规整,楼梯间存在局部改造,中间平台亦加建了卫生间。
综合考虑楼梯间历史特征、改造历程、现状及未来使用需求,修缮设计中保留与该楼梯间风貌相符且紧密连接的部分弧形扶手、金属防滑条(护角)、锚固件,拆除底层加建的钢梯与楼梯两侧的后加平台、装饰、栏杆,恢复并强化原楼梯空间特征。





△ 修缮前后的缓步楼梯间,结合其历史特征,恢复并强化了楼梯间疏朗、通透的工业感氛围
修缮设计中,散落各处的历史铁门仅作除锈处理,保留原有生产铭牌等历史信息,安置于楼内公共区域。
06.
从河畔记忆到文化现场
光复路195号的修缮与重生,不仅是一次建筑物理空间的修复,更是一场跨越时空的城市文化对话。作为苏州河工业遗产带的标志性节点,它从交通银行仓库,历经战火洗礼、产权更迭与功能蜕变,成为苏州河岸文化产业的一环,生动诠释了历史建筑保护的核心意义——在敬畏历史基因的基础上,激活历史空间与现代生活的共生关系。

△ 光复路195号启用时,楼内举办的《今日之城·百联资控城市更新实践》主题展览
结语
历史建筑的存续,是城市文明韧性的见证。光复路195号的无梁楼盖、Art-Deco立面、缓步楼梯等元素,承载了上海近代民族工业的荣光与技术智慧;而日军占领期的意外存留、建国后的国有化流转,乃至创意仓库时期的先锋探索,则叠加了社会变革的复杂叙事。
本次修缮工程中“系统性激活”的理念,正是对这些历史层次的精妙回应: 保护绝非凝固过往,而是让历史场所在当下焕发新生 。



建筑信息
建筑原名称:交通银行仓库
始建时间:1933年
保护级别:上海市优秀历史建筑(第五批)
项目信息
项目名称:光复路195号修缮项目
项目类型:历史建筑修缮
项目地点:上海市静安区光复路195号
设计时间:2024年1月—2024年8月
施工时间:2024年9月—2025年8月
建筑面积:9556m²
建设单位:上海百联资产控股有限公司
设计单位:华东建筑设计研究院有限公司历史建筑保护设计院
景观方案设计:上海或然景观设计咨询有限公司
泛光照明设计:上海倘思照明设计有限公司
室内施工图设计:上海现代建筑装饰环境设计研究院有限公司
标识设计:CASE PAVILION 案亭建筑事务所
施工单位:上海建筑装饰(集团)有限公司
监理单位:上海浦东新区建设监理有限公司
团队成员
设计总负责人:张颖
建筑设计:吴欢瑜、杨冉明、程奂仑
室内设计:程奂仑、吴欢瑜
结构设计:沈忠贤、谢磊磊
机电设计:王宇佳、陈泓远、吕亮、陈晓丹、赵丽花
建筑摄影:历保院、SFAP
撰稿:吴欢瑜、程奂仑
编辑:徐 婧
1条评分金币+35
xgch 金币 +35 辛苦了,感谢您无私奉献的精神! 昨天 18:08
山庄提示: 道行不够,道券不够?---☆点此充值☆
 
在线jjybzxw

UID: 551814


发帖
215641
金币
640877
道行
2006
原创
2442
奖券
3260
斑龄
41
道券
1197
获奖
0
座驾
设备
摄影级
在线时间: 46987(小时)
注册时间: 2008-10-01
最后登录: 2026-01-02
只看该作者 沙发  发表于: 昨天 09:36
光复路195号:以艺术设计激活历史建筑,融入“一江一河”滨水文化复兴的实践路径
一、项目背景与区位价值:在城市更新中重新定义工业遗产

光复路195号位于上海市普陀区苏州河畔,地处苏州河贯通工程的核心段落,是上海“一江一河”(黄浦江与苏州河)滨水公共空间发展战略中的关键节点。该建筑原为20世纪初建造的工业厂房或仓储设施,具有典型的近代工业建筑特征——红砖墙体、坡屋顶、钢木结构、高大空间等,承载着苏州河作为“上海母亲河”在近现代工商业发展中的历史记忆。

随着城市功能转型,传统沿河工业用地逐步退让,取而代之的是对生态、文化与公共生活的复合需求。在此背景下,光复路195号的更新不再仅是物理空间的修缮,更是一次关于历史文脉延续、艺术介入更新、生活方式重塑的系统性探索。
二、艺术设计作为更新引擎:从“保护性修复”迈向“创造性再生”
1. 尊重原真性的设计语言重构
在建筑修缮中,采用“最小干预”原则,保留原有砖墙肌理、结构体系与空间尺度。通过现代材料如玻璃、耐候钢、再生混凝土进行局部加建或界面置换,形成新旧对话。例如,在立面处理上,以半透明金属网幕墙包裹部分区域,既增强现代感,又在光影变化中呈现“历史的朦胧感”。
2. 艺术装置与空间叙事融合
邀请国内外艺术家驻地创作,将建筑内外空间转化为“可行走的艺术场域”。例如:
在中庭设置动态光影装置《水流年》,以投影再现苏州河百年航运图景;
利用废弃管道改造为声音艺术装置《回响195》,播放市民口述史与工业音效;
墙面壁画由本地青年艺术家团队绘制,主题为“苏州河的十二时辰”,展现从劳作到休闲的生活变迁。

此类艺术介入不仅提升视觉吸引力,更构建了情感连接,使建筑成为“有故事的空间”。
3. 模块化展览与弹性使用空间设计
内部空间被划分为“固定展陈+流动展厅+共创工坊”三类功能区。采用可移动隔断、升降展墙、智能照明系统,支持短期艺术展、设计市集、社区剧场等多种活动。这种“柔性空间”策略增强了建筑的适应性与参与性,使其成为持续生长的文化容器。
三、生活方式的深度植入:打造“慢生活+创意社交”的滨水生活样本
1. 构建“文化-消费-社交”三位一体场景
引入轻餐饮、独立书店、手作工作室、瑜伽冥想空间等功能,强调体验感与人文温度。例如:
“河岸书屋”结合本地出版品牌,定期举办读书会与城市漫步导览;
“195工坊”提供陶艺、金工、版画等DIY课程,吸引家庭与年轻群体;
屋顶花园设为“星空影院”与“微醺酒会”场地,强化夜间活力。

这些业态并非简单招商填充,而是围绕“苏河生活美学”主题精心筛选,形成风格统一、调性鲜明的生活方式集群。
2. 推动社区共建与公众参与
设立“居民策展人计划”,鼓励周边社区居民提交展览提案或生活物件用于陈列;开展“我家门前有条河”影像征集活动,将普通人的记忆转化为公共艺术内容。这种“去专业化”的参与机制,打破了艺术与日常的界限,真正实现“人民的城市”理念。
四、融入“一江一河”战略:区域协同与可持续发展的示范意义

光复路195号的更新不仅是单体建筑的再生,更是区域文化网络中的重要锚点。其成功实践体现在三个层面:

| 融合维度 | 具体举措 | 区域影响 |
|--------|--------|--------|
| 空间联通 | 打通建筑后巷与苏州河步道系统,增设无障碍通道与观景平台 | 强化滨水公共空间连续性 |
| 文化串联 | 与M50创意园、四行仓库、华东政法大学历史建筑群联动推出“苏河艺术步行路线” | 构建文化走廊品牌效应 |
| 生态响应 | 屋面绿化、雨水回收、光伏板应用、低碳建材选用 | 践行绿色更新标准 |

该项目因此成为上海市“工业遗产活化指南”中的典型案例,被纳入“一江一河”公共空间建设白皮书。
五、未来展望:从“地标更新”走向“模式输出”

光复路195号的意义不仅在于自身的成功转型,更在于其提供了可复制、可推广的城市更新范式:
方法论层面:提出“ART-LIVE模型”——  
  Art(艺术驱动)、Recall(记忆唤醒)、Transition(功能转译)、  
  Lifestyle(生活营造)、Inclusion(包容参与)、Vitality(持续活力)、Ecology(生态共生),  
  为同类项目提供系统框架。
政策建议:呼吁建立“艺术介入城市更新”的专项基金与审批绿色通道,鼓励更多私人产权历史建筑参与公共价值创造。
数字延伸:开发AR导览小程序《穿越195》,用户扫描墙面即可观看历史影像叠加现实场景,实现“时空折叠”的沉浸体验,拓展物理空间的叙事边界。
结语:让建筑说话,让生活发生

光复路195号的更新,本质上是一场关于“如何让过去服务于未来”的深刻实验。它告诉我们:历史建筑的价值不在凝固的怀旧,而在动态的再生;艺术设计的力量不在炫技,而在激发共鸣;而真正的城市更新,终将回归到人——人的记忆、人的交往、人的诗意栖居。

在这条缓缓流淌的苏州河边,一座老厂房正以温柔而坚定的方式,重新学会呼吸。

1条评分金币+6
xgch 金币 +6 回复认真,加分鼓励 昨天 18:08
如何不发帖就快速得到金币道行
 
快速回复
限120 字节
认真回复加分,灌水扣分~
 
上一个 下一个